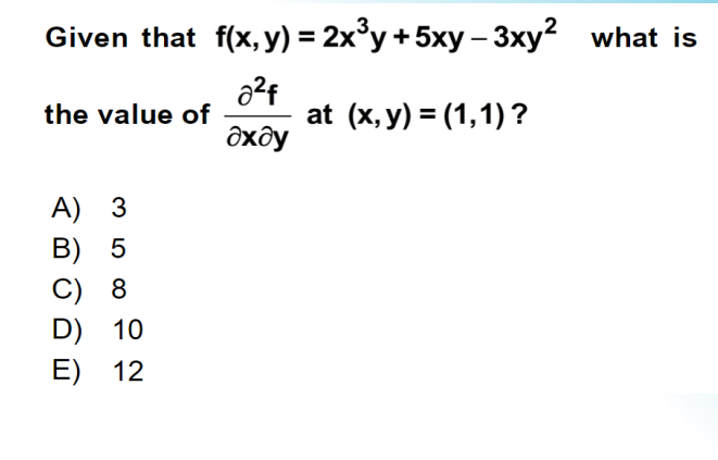
Verilen fonsiyon: f(x,y) = 2x^3 y + 5xy − 3xy^2. İstenen: karma ikinci türev \dfrac{\partial^2 f}{\partial x \partial y} noktada (1,1).
Adımlar:
-
Önce y'ye göre türev alalım:
f_y = \dfrac{\partial f}{\partial y} = 2x^3 + 5x - 6xy. -
Sonra bu sonucu x'e göre türevleyelim (yani \partial/\partial x uygulayalım):
f_{yx} = \dfrac{\partial}{\partial x}(f_y) = 6x^2 + 5 - 6y. -
Nokta (1,1) için yerine koy:
f_{yx}(1,1) = 6\cdot1^2 + 5 - 6\cdot1 = 6 + 5 - 6 = 5.
Ayrıca Clairaut teoremi gereği düzgün (sürekli türevli) fonksiyonlarda f_{xy}=f_{yx} olduğundan sonuç aynıdır.
Cevap: 5 (B şıkkı).
The value of the mixed partial derivative ∂²f/∂x∂y at (1, 1) is 5.
Steps:
-
Compute fₓ (partial of f with respect to x):
f(x,y) = 2x³y + 5xy – 3xy²
⇒ fₓ = ∂/∂x (2x³y) + ∂/∂x (5xy) + ∂/∂x (–3xy²)
= 6x²y + 5y – 3y² -
Compute fₓᵧ (partial of fₓ with respect to y):
fₓ = 6x²y + 5y – 3y²
⇒ fₓᵧ = ∂/∂y (6x²y) + ∂/∂y (5y) + ∂/∂y (–3y²)
= 6x² + 5 – 6y -
Evaluate at (x,y) = (1,1):
fₓᵧ(1,1) = 6·1² + 5 – 6·1 = 6 + 5 – 6 = 5
Answer: 5
